電源頻率改變對電動機的影響
電動機的轉速:
公式中:f為電源頻率;p為定子繞組的磁極對數;s為轉差率。要對電動機進行調速,方法有:①改變磁極對數p,但只能做到有級調速;②改變電源頻率f,也就是采用變頻器調速,可做到無級調速。
電動機的轉子是依靠電磁感應而得到能量的,把能量從定子繞組傳遞給轉子的是主磁通ФM,而主磁通ФM在電路中通過反電動勢E1來體現,在額定頻率時,定子繞組的反電動勢E1的大小是和電源頻率fl與磁通ФM的乘積成正比,即E1≈U1≈ke1×fl×ФM。如果電源電壓U1不變,磁通ФM與fl成反比,電源頻率fl改變,會導致磁通ФM的減小或增大,而產生弱勵磁或過勵磁現象,弱勵磁將引起轉矩不足而過勵磁會引起磁飽和,鐵耗急劇增加使電動機發熱、效率和功率因數都下降。因此在調速時如何保持磁通ФM不變,就成為變頻器調速時要解決的一個重要問題。
基本保持磁通量ФM不變的方法
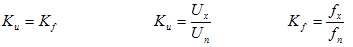
在變頻調速過程中,要使磁通令M基本保持不變,就必須使U1/fl≈conest,也就是說在改變頻率fl的同時,還需改變定子電壓U1。保持ФM≈conest的手段,就是保持電壓調節比Ku等于頻率調節比Kf即:

公式中Ux為fx對應的電壓(單位:V);Un為電動機的額定電壓(單位:V);fx為運行頻率,即調節后的頻率(單位:Hz);fn為電動機的額定頻率,(單位:Hz)。
變頻器基本U/F曲線
為改薦使用變頻器后電動機的機械特性,最廣泛使用的就是V/F控制方法。即通過控制變頻器輸出部分的Ku/Kf值,使電動機的轉矩得到提升,以滿足負載的要求。

變頻器基本U/f曲線
針對Ku=Kf下降時ФM下降的情況,采用適當提高調壓比Ku,而使Ku>Kf而來保持ФM≈conest。最終使電動機的臨界轉矩得到補償,這就是所謂的轉矩補償(又稱為轉矩提升),這是通過提高U/f比來得到的。
使Ku=Kf時的U/f線稱為基本U/f曲線,它表明了沒有補償時的電壓Ux和頻率fx之間的關系,它是進行V/F控制的基準線。
在U/f曲線設定中
1、基本頻率fb和電動機的額定電壓相對應(50Hz對應380V),通常變頻器基本頻率fb應按電動機的額定頻率來設定。
2、最高頻率fmax和最大的外給定信號Xmax相對應。
可看出U/f曲線是設定變頻器和電動機正常工作的依據。
實際的變頻器U/F曲線
各型變頻器都提供了多種U/f曲線(實際就是一些子程序),由用戶根據負載情況來選擇及進行設定。常用的U/f曲線可分為:
1、單U/f曲線,用于恒轉矩及平方律負載,其設定原則是,以最低工作頻率時能帶動負載為前提。廠家將多條曲線做成U/f圖形方式供用戶選擇。
2、分段的單U/f曲線,用于負載的轉矩與轉速成比例的負載,即在轉速低時,負載轉矩小補償也少些,轉速升高,轉矩增大補償作用也加強。
3、自動單U/f曲線,變頻器可根據負載電流的大小,自動調整U/f曲線。
4、自定義U/f曲線,可由用戶設定U/f曲線的第一/第二/第X個電壓及第一/第二/第X個頻率值。
應用中V/F不要等于U/F
對于變頻器的U/f曲線,有的文獻資料或產品說明書上寫“V/F”,有的寫“U/f”,那“V/F曲線”和“U/f曲線”有沒有區別?這些寫法實質都是針對V/F控制方法而言,是沒有區別的。有的人可能會說V/F和U/f字母都不同,意思也應該不相同吧?目前對“U/f選擇”功能有不同的稱謂,就是說還沒有一個統一的定義。變頻器的應用中最好V/F不要等同于U/f,應把它看成這是同一作用的兩個概念,即V/F屬于控制思路,而U/f曲線則是具體方法、這樣在理解和應用上就不會混淆了。
