
1、前言
在水泥回轉窯生產過程中,會產生大量的高溫煙氣,這些煙氣直接排入大氣,一方面會造成能源損失,另一方面會造成環境溫度升高,污染環境。利用水泥窯排出的高溫煙氣建設水泥余熱發電電站是提高生產效益、節約能源、實現可持續發展的重要途徑。
水泥余熱發電電站較一般電站具有一定的特殊性,主要表現在水泥窯排放的煙氣量和煙氣溫度不易控制。由于水泥窯的生產工藝、生產方法、原料、燃料條件發生變化,產生的廢熱煙氣品質也隨之波動較大,給純低溫余熱鍋爐的余熱利用帶來了很多困難。另一方面,水泥余熱發電余熱鍋爐汽包熱容量較小,受水泥回轉窯運行情況的制約,在熱源不穩定的情況下,導致汽包水位波動劇烈。
汽包水位的控制是水泥余熱發電余熱鍋爐控制系統的重要組成部分,因此在汽包水位控制系統設計中,要盡量考慮水泥余熱發電鍋爐的特點和發電系統工藝要求,最大限度地利用煙氣的余熱,穩定蒸汽參數,保證汽輪機在穩定工況下運行。
2、余熱鍋爐汽包水位控制的任務
在水泥窯余熱鍋爐系統中,汽包是整個鍋爐系統中的重要部分,是實現汽水分離的關鍵裝置。為了鍋爐系統的可靠、穩定運行,必須盡量減小汽包水位的測量誤差,提高汽包水位的控制精度。鍋爐汽包水位的控制對鍋爐的安全運行尤為重要,因為汽包水位的過高或過低都會引起蒸汽品質變壞或者水循環惡化,甚至會造成嚴重事故。水位過高,會使蒸汽帶水帶鹽,蒸汽品質下降,嚴重時對汽輪機葉片產生危害,直接影響生產安全水位過低又會影響蒸發器的水循環,引起蒸發器局部過熱而損壞。
鍋爐給水控制的任務是使鍋爐給水量適應鍋爐蒸發量,并使汽包的水位保持在一定的范圍內。
3、水泥窯余熱鍋爐汽包水位動態特性
影響余熱鍋爐汽包水位的主要參數是給水流量、蒸汽流量和水泥回轉窯煙氣量及溫度變化。其中任一參數發生變化時,汽包水位都可能出現“虛假水位”的現象,系統具有大滯后、非線性的特點。
3.1 給水流量對汽包水位的影響
給水流量的擾動來向控制調節閥,稱為內部擾動。在給水流量的作用下,汽包水位變化的階躍響應曲線如圖1所示。

圖1 給水流量擾動下水位階躍響應曲線
當給水流量階躍ΔW后,水位H的變化如圖1中曲線2所示。如果把汽包和給水看作單容量無自平衡過程,水位階躍響應曲線應為圖中的曲線1。但是由于給水溫度低于汽包內飽和水溫度,給水吸收了原有飽和水中的熱量,使水面下汽泡容積減小,所以擾動初期水位不會立即升高。當水面下汽泡容積的變化過程逐漸平衡,水位就反應出由于汽包中水量的增加而逐漸上升的趨勢,最后,當水面下汽泡容量不再變化時,由于進、出工質流量不平衡,水位將以一定的速度直線上升。曲線3為只考慮給水流量變化時水面下汽泡容積變化所引起的水位變化,可以認為是一個慣性環節。在給水流量擾動下實際的水位變化用曲線2表示,可以認為曲線2是曲線1和曲線3合成而來。
3.2 蒸汽流量對汽包水位的影響
在蒸汽流量的擾動下,汽包水位變化的階躍響應曲線如圖2所示。

圖2 蒸汽流量擾動下水位階躍響應曲線
當蒸汽流量D突然增加時,鍋爐的蒸發量大于給水量,水位應該下降(如圖2中曲線H1),而實際情況并非如此。當蒸發量突然增加時,汽水混合物中汽泡容積增大,若果余熱鍋爐進口煙氣量穩定不變,必然導致汽包壓力不斷下降,飽和溫度降低,促使蒸發速度加快,汽包內的水中汽泡體積迅速增加而使水位變化曲線如圖中H2所示。水位實際變化曲線H為H1和H2的疊加。從圖2中可以看出,當鍋爐蒸汽負荷增加時,雖然鍋爐的給水量小于蒸發量,但在開始階段,水位不但未下降,反而迅速上升,然后再下降;當蒸汽負荷突然減小時,則水位先下降,然后迅速上升,這就是“虛假水位”現象。
3.3 余熱鍋爐進口煙氣對水位的影響
在回轉窯煙氣溫度T的擾動下,汽包水位變化的階躍響應曲線如圖3所示。

圖3 水泥回轉窯煙氣擾動下水位階躍響應曲線
當水泥回轉窯煙氣溫度T突然增加時,鍋爐的吸熱量增加,蒸發強度增加,此時給水量未及時改變,蒸發量將大于給水量,水位應該下降。但是由于汽包汽泡容積的增加,水位先上升,然后才下降,出現“虛假水位”現象。
4、汽包水位自動控制系統
4.1 汽包水位控制方案
汽包水位控制包括單沖量、雙沖量和三沖量控制方案。由于單沖量和雙沖量控制方案比較簡單,難以適應工況復雜的余熱鍋爐的控制要求,因此目前余熱鍋爐均采用串級三沖量水位控制方案。
串級系統的結構包括兩個閉環:一個閉環在內部,稱為副調節回路,在控制中起粗調作用;一個閉環在外部,稱為主調節回路,完成細調任務。系統中有兩個調節器,他們的作用各不相同。主調節器具有自己獨立的給定值,它的輸出作為副調節器的給定值;副調節器的輸出信號送到調節機構控制生產過程。
三沖量汽包給水控制如圖4所示,以鍋爐汽包水位作為本控制信號,構成主調節回路,以給水流量作為串級信號,構成副調節回路,以蒸汽流量信號為前饋信號,構成前饋調節回路。主調節回路、副調節回路和前饋調節回路共同構成鍋爐汽包水位串級三沖量自動控制系統。副調節回路的作用主要為快速消除內擾,主調節回路用于校正水位偏差,前饋調節回路路用于補償外擾、主要用于克服“虛假水位”現象。

圖4 水泥余熱發電串級三沖量給水控制系統方框圖
汽包水位三沖量給水自動控制系統接受汽包水位、蒸汽流量和給水流量三個信號。其中,汽包水位是主信號,任何擾動引起的水位變化,都會使調節器輸出信號發生變化,通過調節給水閥門改變給水流量,使汽包水位恢復到給定值;蒸汽流量信號是前饋信號,其作用是防止由于“虛假水位”而使調節器產生錯誤的動作,改善蒸汽流量擾動時的調節質量;蒸汽流量和給水流量兩個信號配合,可消除系統的靜態偏差。當給水流量變化時,測量孔板前后的差壓變化很快并及時反應給水流量的變化,所以給水流量信號作為介質反饋信號,使調節器在水位還未變化時就可根據前饋信號消除嚴,使調節過程穩定,起到穩定給水流量的作用。
4.2測量信號的校正
(1)汽包水位的校正
汽包鍋爐通常利用壓差原理測量其水位,而鍋爐從啟動、停止到正常負荷的整個運行范圍內、汽包內蒸汽和飽和水密度隨壓力變化、這樣就不能直接用壓差信號來代表水位,因此必須對測量信號進行壓力修正。
同時,汽包水位的測量值至少要有3個,因此還需要對這些信號進行3取2的運算處理。差壓原理測量的取壓裝置-平衡容器有單室平衡容器、雙室平衡容器和蒸汽罩補償式平衡容器三種。單室平衡容器測量原理簡單,如圖5所示,因汽包內的飽和水、蒸汽與平衡容器內凝結水溫度不同、密度不同,從而造成較大的測量誤差。
圖5 單室平衡容器差壓水位計
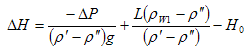
雙室平衡容器是差壓式測量中非常普遍的一種裝置,如圖6所示,差壓ΔP與水位H的關系為:

圖6 雙室平衡容器差壓水位計

圖7 蒸汽罩補償式平衡容器差壓水位計
---------------------------(1) 即
------------------------------------------------(2)式中:ΔP為汽包水位的差壓,Pa;H0為汽包正常水位,mm;H為汽包實際水位,mm;ΔH為汽包實際水位與正常水位的差值,mm;L為汽包水位最大測量范圍,mm;ρ′為汽包飽和蒸汽密度,kg/m3;ρ″為汽包飽和水密度,kg/m3;ρW1為平衡容器內水密度,kg/m3。
由式(2)看出水位變化ΔH與差壓ΔP不成線性關系,ρ′和ρ″與汽包壓力有關,ρW1與溫度有關。所以,汽、水密度的易變性是雙室平衡容器水位測量的重要誤差來源,即使ΔH為0,不同汽包壓力下ΔH并不一定為0,存在零點漂移的問題。
為了提高測量精度消除零點漂移的現象,可以采用蒸汽罩補償式平衡容器。如圖7所示,其做法就是用蒸汽罩對正壓側水槽加熱,使槽內水在任何情況下與汽包壓力下飽和水密度相同,式(2)可以變為
------------------------------------------------(3) 式中:ρa為平衡容器內水密度,kg/m3;ΔP為汽包水位的差壓,Pa;H0為汽包正常水位,mm;H為汽包實際水位,mm;ΔH為汽包實際水位與正常水位的差值,mm;L為汽包負壓端接口與平衡容器內管頂部的垂直高度,mm;ρ′為汽包飽和蒸汽密度,kg/m3;ρ″為汽包飽和水密度,kg/m3。
其中,ρa為環境溫度下平衡容器內水密度,變化不大,可視為常值,通過合理地設計L和l,便可以使ΔP在ΔH=0條件不隨壓力變化而變化,消除零點漂移現象。
即:ΔP=ΔP0-gΔH(ρ′-ρ″)-------------------------------------------------------------------(4)
式(4)表明,蒸汽罩補償式平衡容器輸出的壓差ΔP與汽包內汽、水的密度有關,也就是受汽包壓力的影響。為了消除汽包壓力對水位測量的影響,需要同時采集汽包水位和壓力信號,并建立汽包壓力與汽包內汽、水的密度的數學模型,然后通過式(4)進行校正計算,便可實現信號的自動校正。
(2)蒸汽流量的校正
過熱蒸汽流量的測量通常采用標準噴嘴,它在設計參數下的測量精度較高,但當被測蒸汽的壓力、溫度偏離設計值時,工質的密度變化會造成流量測量誤差,所以以需要進行壓力、溫度校正。蒸汽流量D的校正公式如式(5)。
--------------------------------------------------(5)式中:D為過熱蒸汽流量,kg/h;p為過熱蒸汽壓力,MPa;t為過熱蒸汽溫度,℃;Δp為節流裝置壓差,MPa;ρ為過熱蒸汽密度,kg/m3;K為流量系數
式(5)表明,過熱蒸汽流量D與過熱蒸汽的壓力p和溫度t有關。為了消除蒸汽壓力、溫度對流量測量的影響,需要同時采集蒸汽流量(節流裝置壓差)、壓力和溫度信號,然后通過式(5)進行校正計算,便可實現信號的自動校正。
(3)給水流量的校正
由于水的物理性質的復雜性,給水密度除了與給水溫度有關外,還與給水壓力存在一定的關系。在壓力、溫度對水密度的影響中,溫度的作用是主要的。
對于水泥窯純低溫余熱電站的給水介質主要運行參數如溫度、壓力只能在某一特定范圍內變化,給水壓力變化范圍1.35-3MPa,給水溫度變化范圍100-200℃。計算結果表明,當給水溫度為100℃、壓力在0.196-19.6MPa范圍內變化時,給水流量的測量誤差為0.47%;壓力19.6MPa不變、給水溫度在100-290℃范圍內變化時,給水流量的測量誤差為13%。這就說明給水流量的測量只需采取溫度校正。當然,若給水溫度變化也不大的情況下,則可不必對給水流量進行校正。
5、結語
汽包水位串級三沖量控制系統在抗干擾能力、快速性、適應性和控制質量方面有較好的性能。為了更好地對汽包水位進行控制,應采用串級三沖量水位控制方案,這樣可有效地將汽包水位控制在一定范圍內,有利于提高蒸汽品質,保證水泥余熱發電鍋爐安全運行。
猜您喜歡
影響鍋爐汽包水位的因素
汽包水位差壓變送器測量誤差的消除辦法
水位三沖量調節控制策略及串級調節參數整定方法
