建立本計量標準的目的是為了更好地在企業內部開展計量標準的量傳與溯源。建立計量標準不僅會給企業帶來一定的經濟效益,還包含著一定的社會效益(如有可能可以對外開展技術服務,增加收益),同時也標志著企業計量水平的一個方面。
二、二等標準熱電偶標準裝置的工作原理及其組成
工作原理:采用雙極比較法檢定工作用熱電偶。
組成:二等標準熱電偶(二等標準鉑銠10-鉑熱電偶)、七位半數字多用表、低電勢掃描控制器、恒溫油槽和熱電偶檢定爐等。
三、二等標準熱電偶標準裝置選用的計量標準器及主要配套設備
| 計量標準器 | 名稱 | 型號 | 測量范圍 | 不確定度或準確度等級或最大允許誤差 | 制造廠及出廠編號 | 復檢間隔 |
| 二等標準熱電偶 | WRPB-2 | 300-1300℃ | 二等 | 昌暉儀表制造有限公司 | 一年 | |
| 一等標準熱電偶 |
WRPB-1 |
300-1300℃ | 一等 | 昌暉儀表制造有限公司 | 一年 | |
| 主要配套設備 | 數字多用表 | KEITHLEY2010 | 0-1000V | 七位半 | 美國吉時利儀器公司 | 一年 |
| 恒溫油槽 | HWC-Y | 室溫-300℃ |
溫差U=1mK k=2; 波動度U=2mK k=2 |
山東省計量儀器實驗廠 | 一年 | |
| 熱電偶檢定爐 | YG-3 | 300-1300℃ | U=0.04℃ k=2 | 山東省計量儀器實驗廠 | 一年 | |
| 游標卡尺 | 0-150mm | 0.02mm | 無錫 | 一年 | ||
| 兆歐表 | ZC25-4 | 0-1000MΩ |
10.0級 |
上海康海儀器 | 一年 |
四、計量標準的主要技術指標
1、二等標準熱電偶
型號規格:WRPB-2
準確度等級:二等
測溫范圍:300-1300℃
2、一等標準熱電偶
型號規格:WRPB-1
準確度等級:一等
測溫范圍:300-1300℃
3、數字多用表
型號規格:KEITHLEY 2010
準確度等級:七位半
測量范圍:0-1000V
五、環境條件
| 項目 | 要求 | 實際 | 結論 |
| 溫度 | (20±5)℃ | 18-25℃ | 合格 |
| 濕度 | ≤85%RH | 35%-75%RH |
合格 |
六、計量標準的量值溯源和傳遞框圖
七、計量標準的重復性試驗
計量標準的重復性通常用測得值的實驗標準差來表示,要求是S1<S,其中S1為測得值的實驗標準差;S為不確定度評定中S值。
選擇一支Ⅱ級工業用鎳鉻-鎳硅熱電偶做為被測量對象,用一支二等標準熱電偶作標準,對它在1000℃點的熱電動勢進行重復10次測量,測得數據為41.321、41.320、41.321、41.322、41.322、41.322、41.322、41.324、41.323、41.324mV。則

單次實驗標準差為

由于S1<S(不確定度評定中S=0.0017mV),所以重復性符合要求。
八、計量標準的穩定性考核
用該二等標準熱電偶對一穩定的被測量對象工業Ⅱ級鎳鉻-鎳硅熱電偶,選擇1000℃點為測量點,每隔4個月進行一組10次的測量,共觀測4組,各組的測得數據及測得結果如下表所示:
工業用II級鎳鉻-鎳硅熱電偶在1000℃時在一年內測量的四組數據
| 時間 | 工業用II級鎳鉻-鎳硅熱電偶在1000℃的電勢值mV | ||||||||||
| 第1次 | 第2次 | 第3次 | 第4次 | 第5次 | 第6次 | 第7次 | 第8次 | 第9次 | 第10次 | 平均值 | |
| 2012.03 | 41.326 | 41.319 | 41.321 | 41.321 | 41.326 | 41.329 | 41.322 | 41.324 | 41.327 | 41.325 | 41.3240 |
| 2012.07 | 41.321 | 41.321 | 41.320 | 41.320 | 41.321 | 41.321 | 41.322 | 41.320 | 41.323 | 41.323 | 41.3212 |
| 2012.11 | 41.321 | 41.320 | 41.321 | 41.321 | 41.321 | 41.320 | 41.320 | 41.321 | 41.320 | 41.321 | 41.3207 |
| 2013.03 | 41.328 | 41.332 | 41.334 | 41.329 | 41.326 | 41.333 | 41.327 | 41.326 | 41.332 | 41.329 |
41.3297 |
根據以上四組數據,測得穩定性為:Imax-Imin=41.3297-41.3207=0.009mV
由于Imax-Imin<U95=0.032mV,所以該標準裝置的穩定性符合要求。
九、檢定或校準結果的測量不確定度的評定
Ⅱ級工作用鎳鉻-鎳硅熱電偶熱電動熱測量結果的不確定度評定
1、概述
1.1 測量依據:JJF 1637-2017廉金屬熱電偶校準規范
1.2 測量環境條件:溫度18-25℃,濕度35-75%RH
1.3 測量標準及其主要技術要求
二等標準熱電偶,鋅、鋁(銻)、銅三凝固點溫度的分度值的擴展不確定度U為(0.6-1.0)℃,置信概率0.99;數字多用表電壓檔允許誤差為±(0.005%×示值+0.0035)mV
1.4 被測量對象及其主要性能
Ⅱ級工作用鎳鉻-鎳硅熱電偶,在300-1100℃范圍內誤差不超過2.5℃或±0.75%。
1.5 測量參數與簡單測量方法
Ⅱ工作用鎳鉻-鎳硅熱電偶在300-1100℃間的熱電動勢是由其測量端在所需測量溫度點、參考端為0℃時的熱電動勢與二等標準熱電偶在相同溫度點的熱電動勢以及標準偶、被測偶的微分熱電動勢得到的。用數字多用表可測量被測和標準熱電偶在各測點附近溫度點
的熱電動勢
和
,由
與己知的標準熱電偶在各測點t的分度值
以及微分熱電動勢
可計算出測量時實際溫度與所測量溫度點的差值△t(|△t|≤5℃),由Δt、被測偶微分熱電動勢
以及
進一步計算出被測偶在所需測量溫度點的熱電動勢。1.6 評定結果的使用
在符合上述條件下的常規測量中,本測量不確定度評定可直接用于重復性條件下或復現性條件下的測量結果。
2、數學模型

式中:
為被測熱電偶在需測量溫度點t的熱電動勢;
為被測熱電偶在測量時(溫度點
)的熱電動勢;
為標準熱電偶在需測量溫度點t的分度值;
為標準熱電偶在測量時(溫度點
)的熱電動勢;
和
為二等標準熱電偶、被測熱電偶在需測量點溫度t的微分熱電動勢。3、輸入量
的標準不確定度
評定3.1 輸入量的標準不確定度的評定
輸入量
的標準不確定度
源于被測熱電偶測量不重復性、數字電壓表測量誤差、檢定爐溫場分布不均、測量回路寄生電勢以及熱電偶參考端溫度不均。3.1.1 標準不確定度
的評定輸入量
的標準不確定度
來源于被測熱電偶測量不重復性,采用A類方法進行評定。因在任一溫度點測量時,被測偶重復性情況類似,故對其在任一溫度點
進行重復測量情況的分析,可代表其在其他溫度點的測量重復性情況的分析。現以1000℃的測量情況為例分析。將一支Ⅱ級鎳鉻-鎳硅熱電偶用一支二等標準鉑銠10-鉑熱電偶作標準對它在1000℃的熱電動勢進行重復10次測量,測得數據為41.320、41.320、41.321、41.322、41.322、41.322、41.323、41.324、41.325、41.324mV。則

單次實驗標準差為

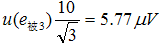
同樣方法,將另5支Ⅱ級鎳鉻-鎳硅熱電偶分別用5支二等標準熱電偶作標準,分別對它們在1000℃的熱電動勢進行重復10次測量,獲得5組數據的單次實驗標準差分別為S2=0.0018mV,S3=0.0018mV,S4=0.0017mV,S5=0.0016mV,S6=0.0018mV
則合并樣本標準差Sp為0.0017mV。
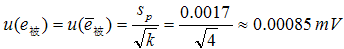
實際測量時,測量次數為4次,以測得值的平均值為測量結果。則該結果的標準不確定度為

標準不確定度
自由度為
3.1.2 標準不確定度
的評定標準不確定度由數字多用表電壓檔測量誤差引起,采用B類方法進行評定。
根據數字多用表電壓檔檢定結果可得:檢定后1年內其示值誤差為:
±(0.005%×示值+0.0035)mV
在區間內可以認為均勻分布,
,以整百度計算為例,結果見表1所示。表1 標準不確定度
的計算
| 測量溫度 | 300 | 400 | 500 | 600 | 700 | 800 | 900 | 1000 | 1100 |
| 最大示值 mV | 12.5 | 16.5 | 21.0 | 25.0 | 29.5 | 33.5 | 37.5 | 41.5 | 45.5 |
| 示值誤差 μV | ±4.1 | ±4.3 | ±4.6 | ±4.8 | ±5.0 | ±5.2 | ±5.4 | ±5.6 | ±5.8 |
| 半寬a被2 μV | 4.1 | 4.3 | 4.6 | 4.8 | 5.0 | 5.2 | 5.4 | 5.6 | 5.8 |
| U(e被2)μV | 2.4 | 2.5 | 2.6 | 2.8 | 2.9 | 3.0 | 3.1 | 3.2 |
3.3 |
,則自由度
。3.1.3 標準不確定度
的評定標準不確定度
由檢定爐溫場分布不均引,采用B類方法進行評定。由檢定爐溫場分布不均引起最大誤差不超過20μV,在區間內可以認為均勻分布,
,半寬度
為10μV,故標準不確定度為
估計
,則自由度
。3.1.5 標準不確定度
的評定標準不確定度
由熱電偶參考端不為0℃引起,采用B類方法進行評定。由經驗和試驗可得:熱電偶參考端不為0℃帶來誤差不超過±8μV,在區間內可認為均勻分布,
,半寬度
,故標準不確定度為
估計
,則自由度
。 3.1.6 輸入量
的標準不確定度
的合成
的標準不確定度
由
合成,則標準不確定度為
自由度為
以整百度計算為例,標準不確定度及其自由度見表2。
表2 標準不確定度
及其自由度
| 測量溫度 | 300 | 400 | 500 | 600 | 700 | 800 | 900 | 1000 | 1100 |
| u(e被)μV | 7.8 | 7.9 | 7.9 | 8.0 | 8.0 | 8.0 | 8.1 | 8.1 | 8.2 |
| ν被 μV | 37 | 37 | 38 | 39 | 40 | 41 | 41 | 42 |
43 |
3.2 輸入量
的標準不確定度
的評定輸入量
的標準不確定度來源于二等標準熱電偶分度值的不確定度和其年不穩定性情況,可由標準熱電偶分度結果不確定度與其年穩定性因素綜合后得到,因此采用B類方法進行評定。因二等標準熱電偶年穩定性是以鋅、鋁、銅三定點的熱電動勢值變化為依據的,所以先將標準熱電偶三定點測量結果不確定度與其年穩定性因素綜合,評定其定點標準不確定度
,再進一步推算出其余溫度點標準不確定度
。3.2.1 在三定點上標準不確定度
的評定3.2.1.1 標準不確定度
的評定標準不確定度
為分度時二等標準鉑銠10-鉑熱電偶分度結果不確定度,采用B類方法進行評定。由二等標準鉑銠10-鉑熱電偶測量結果不確定度分析報告可知:其在銅點、鋁點、鋅點標準不確定度分別為2.6μV、2.4μV、2.4μV,自由度分別為107、131、144。則在銅點、鋁點、鋅點
、
、
,分別為2.6μV、2.4μV、2.4μV, 其自由度
、
、
,分別 為107、131、144。《二等標準熱電偶標準裝置技術報告有哪些內容》未完,待續
